Detoxification of Aflatoxin B1 on Dried White Mulberry (Morus alba L.) Using Dielectric Barrier Discharge Plasma
M. Yousefi 1, H. Andishmand 2,3, R. Abedi-Firoozjah 4, S. Khorram 5, A. Ostadrahimi 6**
1. Food and Beverages Safety Research Center, Urmia University of Medical Sciences, Urmia, Iran
2. Department of Food Hygiene and Safety, School of Public Health, Shahid Sadoughi University of Medical Sciences, Yazd, Iran
3. Research Center for Food Hygiene and Safety, School of Public Health, Shahid Sadoughi University of Medical Sciences, Yazd, Iran
4. Student Research Committee, Department of Food Science and Technology, School of Nutrition Sciences and Food Technology, Kermanshah University of Medical Sciences, Kermanshah, Iran
5. Research Institute for Applied Physics and Astronomy, University of Tabriz, Tabriz, Iran
6. Nutrition Research Center, Department of Clinical Nutrition, School of Nutrition & Food Sciences, Tabriz University of Medical Sciences, Tabriz, Iran
HIGHLIGHTS
- Cold plasma treatment reduced Aflatoxin B1 in dried mulberries by up to 62.6%.
- Treatment time had a stronger effect on phenolic degradation than applied voltage.
- Phenolic content and color were affected but sensory impact requires further study.
- Cold plasma shows promise as a non-thermal food safety technology for dried fruits.
Article type
Original article |
|
ABSTRACT
Background: Aflatoxin B1 (AFB1) is an extremely toxic mycotoxin usually found in dried fruits, including mulberries, posing significant health risks. This study investigated the potential of cold plasma treatment to decrease AFB1 contamination in dried white mulberries (Morus alba L.) and its effects on product quality.
Methods: A total of 5 kg of fresh white mulberries were harvested at full ripeness from Urmia, Iran, during June–July 2023. The fruits were sun-dried using traditional methods and artificially contaminated with AFB1 (2000 µg/kg). Samples (5 g per replicate, total
n = 51) were treated using a cold plasma jet system positioned 1 cm above water-containing glass beakers with mulberries immersed in water. Treatments were applied at voltages of 5, 9, and 13 kV for 6, 12, and 18 min according to a Central Composite Design. AFB1 levels were quantified by High-Performance Liquid Chromatography coupled with immunoaffinity column cleanup. Quality parameters including pH, Total Phenolic Content (TPC), and color (L*) were measured. Statistical analysis was performed using Design-Expert software version 13 (Stat-Ease, Inc., Minneapolis, USA), employing analysis of Variance (ANOVA) and regression modeling.
Results: Cold plasma treatment decreased AFB1 content by up to 62.6% at 13 kV and 18 min. pH decreased due to the combined effects of treatment time and voltage, whereas TPC decreased significantly with each factor individually, whereas color (L*) showed no significant change (p>0.05).
Conclusion: Cold plasma effectively reduced AFB1 contamination in dried mulberries with minimal impact on color but caused decreases in pH (from 5.18 to 4.12) and TPC (by approximately 32%), indicating some quality degradation. Further studies should evaluate sensory attributes, microbial safety, and storage stability to confirm industrial applicability.
© 2025, Shahid Sadoughi University of Medical Sciences. This is an open access article under the Creative Commons Attribution 4.0 International License. |
Keywords
Aflatoxins
Cold Plasma
Mulberry
Food Contamination
Food Preservation |
|
Article history
Received: 3 Sep 2024
Revised: 16 Jul 2025
Accepted: 23 Sep 2025 |
|
Abbreviations
AFB1=Aflatoxin B1
DBD=Dielectric Barrier Discharge
2FI =Two-Factor Interaction
IAC=Immunoaffinity Column
TPC=Total Phenolic Content |
|
To cite: Yousefi M., Andishmand H., Abedi-Firoozjah R., Khorram S., Ostadrahimi A. (2025). Detoxification of aflatoxin b1 on dried white mulberry (Morus alba L.) using dielectric barrier discharge plasma. Journal of Food Quality and Hazards Control. 12: 230-239.
Introduction
Dried fruits have high nutritional value for the human diet. However, these environmental products are also very suitable for the growth of various fungi and subsequent contamination by mycotoxins produced by these organisms (Heshmati and Mozaffari Nejad, 2015). To this end, the European :union:, in order to prevent the possible dangers of over-consumption of these products, has set the maximum permissible levels of aflatoxin B1 (AFB1) and total aflatoxin in dried fruits at 2 and 4 ug/kg, respectively (González-Curbelo and Kabak, 2023). AFB1 poses serious health risks, including liver cancer, growth impairment in children, immune suppression, and liver damage. It is categorized as a Group 1 carcinogen by International Agency for Research on Cancer (IARC) and is considered a key food safety concern worldwide. In addition to AFB1, other mycotoxins such as fumonisins and Ochratoxin A (OTA) are also relevant concerns in dried fruits. Ochratoxin A (OTA), primarily produced by Penicillium and Aspergillus species, is nephrotoxic and categorized as a possible human carcinogen (Group 2B) by the International Agency for Research on Cancer (IARC). Fumonisins, produced mainly by Fusarium species, though more common in cereals, have also been sporadically detected in dried fruit products. The presence of multiple mycotoxins highlights the importance of efficient decontamination strategies to ensure food safety in dried fruit consumption. In developing countries, due to the traditional methods of drying, dried fruits are vulnerable to contamination by a variety of fungi, followed by mycotoxins (González-Curbelo and Kabak, 2023). Dried mulberries are no exception. In this regard, a study at Hamadan (Heshmati et al., 2017) showed that more than 45% of dried berries sampled in 2016-2017 from different parts of Iran were contaminated with AFB1 more than the European :union: maximum permissible levels by using the High-Performance Liquid Chromatography (HPLC) method. In another study conducted in Pakistan (Luttfullah and Hussain, 2011), researchers stated that the percentage of contaminated dried berries with aflatoxins was about 26%. This percent was higher than the amount of aflatoxin observed in raisins (20%), dates (10%), dried apricots (20%), pistachios (20%) and pine nuts (20%). Also, in another study, higher levels of AFB1 were reported in berries compared to carob and grapes (Kaymak et al., 2018).
Most berries are eaten dried. Due to the short harvest time and also the high sensitivity of these products to storage, fresh berries are sensitive to microbial spoilage owing to the high level of humidity, even in cold storage conditions. Therefore, for long-term storage as well as domestic consumption and exportation of these products, the methods of freezing, drying, and making mulberry paste and marmalade are used (Samokhvalova et al., 2021). The method of drying mulberries is very important, which is both industrial and traditional. In general, the industrial method is preferable to the traditional method, but traditional drying methods (sunlight) are still used widely due to the ease of work and cheapness. However, a significant reduction in the product quality and quantity is observed in traditional methods due to exposure of fruits to microbial pathogens, aflatoxins, and contaminants caused by insect infestation (Doymaz, 2004). Therefore, developing strategies to deal with dried fruits contamination is necessary.
In today's world, the use of modern and non-thermal methods owing to the advantages such as faster processing time, low cost, and low side effects, to detoxify foods are very important. Cold Atmospheric Pressure Plasma (CAPP) is one of the newest and most promising technologies to reduce food mycotoxins. Cold Atmospheric Pressure Plasma (CAPP) degrades mycotoxins primarily through the action of Reactive Oxygen Species (ROS) such as hydroxyl radicals (•OH), ozone (O₃), and singlet oxygen (¹O₂), as well as Reactive Nitrogen Species (RNS) like nitric oxide (NO) and nitrogen dioxide (NO₂). These reactive species attack and break down the molecular structure of mycotoxins, especially targeting critical bonds like the lactone ring and furan ring in AFB1, leading to detoxification into less harmful compounds. The advantages of cold plasma include the usage of ambient air as a gas, rapid degradation at ambient temperature and atmospheric pressure, low cost, low substantial change in food quality, and the impact on an extensive range of microorganisms and toxins (Shi et al., 2017b). Recent developments in plasma engineering and the development of cold plasma technology at atmospheric pressure, as well as the increasing number of researches pertained to effects of cold plasma on various compounds in foods, have led many researchers to study the reduction of mycotoxins using cold plasma. Therefore, this study aimed to examine the effect of cold plasma on reducing AFB1 contamination and evaluating quality changes in dried mulberries.
Material and method
The standard of AFB1 (CAS No. 1162-65-8, Sigma-Aldrich, St. Louis, MO, USA) was purchased from Sigma-Aldrich. Gallic acid (G7384, Merck, Germany) and Folin-Ciocalteu’s phenol reagent (F9252, Merck, Germany) were obtained from Merck Chemical Co. (Darmstadt, Germany).
Collection of mulberries
Fresh mulberries were harvested at full ripeness from a mulberry plantation in Urmia city, Iran. The fruits were dried using traditional sun-drying methods without any pre-treatment. The mulberries were spread in a single layer on clean plastic trays and placed under direct sunlight for four days, with typical ambient daytime temperatures ranging from 27°C to 34°C and relative humidity between 35–50%. During nighttime, trays were covered with a clean net to prevent contamination. After drying, the samples were permitted to cool at room temperature, packed in polyethylene bags, then kept at 4°C until further analysis. The original moisture content of the dried mulberries was examined by oven-drying at 105°C to a constant weight, and was found to be 12.8±0.5%.
Contamination of dried mulberries with AFB1
Dried mulberries were first confirmed free from aflatoxin contamination. To artificially contaminate the samples, 1 mg of AFB1 powder was dissolved in 1 ml chloroform to prepare a stock solution. This solution was diluted with chloroform to gain a working concentration of 100 µg/ml. For each treatment, 5 g of dried mulberries were weighed into sterile Petri dishes and uniformly spiked with 100 µl of the 100 µg/ml AFB1 solution, delivering 10 µg of AFB1 per 5 g sample (equivalent to 2000 µg/kg or 2000 ppb initial contamination level). The spiked samples were left in a fume hood overnight to ensure complete chloroform evaporation before the treatment.
Cold plasma treatment
Cold plasma was produced using a custom-built plasma jet system. The device consisted of a single electrode linked to a high-voltage power supply, producing plasma jets directed toward the sample. The plasma jet was positioned approximately 1 cm above the surface of a glass container filled with deionized water. Dried mulberries were immersed in the water during plasma exposure to ensure uniform treatment. The system operated under ambient air without additional gas flow. The electrode configuration was a single-pin electrode, and the plasma was generated by applying a voltage of 5, 9, or 13 kV, as specified in the experimental design. In this phase, treatment times of 0, 2, 4, 6, 8, 10, 12, 14, 16, and 18 min were employed. After treatment with cold plasma, quality experiments of samples were immediately carried out. Therefore, the intended voltage and time of final experiments were determined based on pre-tests. Cold plasma was applied at 6, 12, and 18 min.
Design of the study
A Central Composite Design (CCD) with five center points and 17 runs using the Response Surface Methodology (RSM) was employed to investigate the impacts of the process variables on the quality properties and detoxification of dried mulberries. As mentioned before, cold plasma treatment with applied voltages of 5, 9, and 13 kV and treatment time of 6, 12, and 18 min were employed to explore the efficacy of cold plasma on dependent variables of pH, Total Phenolic Content (TPC), color, and AFB1 degradation. All models suggested for the variables were analyzed by Analysis of Variance (ANOVA) using SPSS version 16. Following Analysis of Variance (ANOVA), Duncan’s multiple range test (p<0.05) was used to determine significant differences among treatment means.
pH measurement
To measure the pH of mulberries, 10 g of a sample was mixed with 100 ml of deionized water for 2 min, then a pH meter (Metrohm AG, Switzerland) at room temperature was used in the room temperature (Viuda-Martos et al., 2015).
Determination of TPC
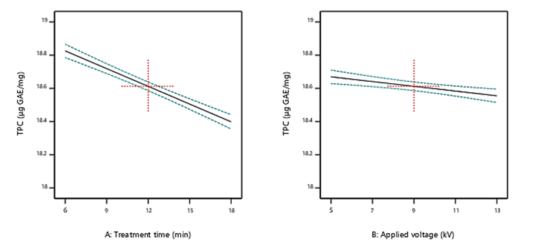
To extract phenolic compounds, 200 mg of dried mulberries powder (dry sample) were placed in an ultrasonic bath (model XUBA3, Grant Instruments, UK) with 10 ml of mixture of acetone (M011–500G, Merck, Germany) and water (80/20). The samples were centrifuged at 9000 rpm (25 °C) for 10 min and then filtered using Whatman No. 4 filter papers. The TPC of the extract was measured using Folin Ciocalteu reagent (Bey et al., 2013) with slight modifications. A solution (200 µl) of the extract was blended with 400 µl of sodium carbonate and 750 µl of Folin-Ciocalteu reagent. The mixture was stored at room temperature for 90 min. Then, the absorbance was determined at 720 nm by a spectrophotometer (Unico, UV-2100, USA). The TPC value was stated as μg Gallic Acid Equivalents (GAE)/mg of dry sample.
Measurement of color properties
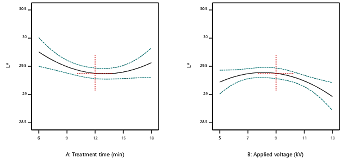
The surface color of dried mulberries was measured using a HunterLab colorimeter (HunterLab MiniScan XE Plus, Reston, VA, USA) in terms of L* at room temperature (Gençdağ et al., 2021). Other color properties such as a* (red-green axis) and b* (yellow-blue axis) were not measured in this study due to limited scope. However, including these parameters in future research would provide a more complete understanding of the color variations induced by cold plasma treatment, especially since a* and b* values can reflect changes in pigment composition and visual quality.
Extraction and analysis of AFB1
The aflatoxin determination in dried mulberries was according to AOAC official method 999.07 with slight modifications (Karaca and Nas, 2006).
In brief, 5 g of dried mulberries were homogenized with 300 ml mixture of methanol-water (8:2) and 5 g NaCl using a blender for 5 min and filtered by a filter paper. Then, 20 ml of the mixture was diluted using 130 ml of deionized water and filtered through a glass microfiber filter. Next, 75 ml of the filtrate was further purified using an Immunoaffinity Column (IAC) specific for AFB1 (Aflatest®, Vicam, MA, USA). The IAC was equilibrated at room temperature and conditioned with 10 ml of Phosphate-Buffered Saline (PBS) at a flow rate of 1–2 ml/min. Subsequently, 75 ml of the diluted extract was passed through the column at a controlled flow rate of 3 ml/min. The IAC was then washed with 20 ml water. AFB1 was eluted using HPLC grade methanol and saved into a vial. Limit of Detection (LOD), and Limit of Quantification (LOQ) values were 0.36±0.04 µg/kg, and 0.9±0.05 µg/kg.
To determine AFB1, separation was carried out by a HPLC equipped with a Wellchrom K-1001 pump, a Rheodyne Model 7125 injector, and a RF10AXL fluorescence detector coupled with a Eurochrom 2000 integrator; all these equipment were from Knauer (Berlin, Germany). The analytical column utilized was a Chromolith Performance column (RP-18e, 100×4.6 mm) from Merck (Darmstadt, Germany). Water and methanol (55:45 v/v) with a flow rate of 1.3 ml/min was used as a mobile phase under isocratic conditions. The fluorescence detector was run at the 365 nm excitation wavelength and the 435 nm emission wavelength. A standard solution of AFB1 was made at 100 ppm, then it was utilized to prepare the working standards of AFB1 for HPLC analysis.
The HPLC system was calibrated using a sequence of AFB1 standard solutions prepared at a determined concentrations to establish a calibration curve with a correlation coefficient (R²) greater than 0.99. Quality control samples and blanks were analyzed alongside the samples to ensure accuracy and precision. Although internal standards were not used, method repeatability was confirmed by analyzing replicate samples, and standard recovery tests were performed to verify the extraction and detection efficiency.
Results and discussion
Despite the growing research on cold plasma for mycotoxin degradation, limited studies have focused specifically on dried mulberries, a popular dried fruit prone to aflatoxin contamination. This study fills this gap by evaluating both toxin detoxification and quality parameters under realistic drying and treatment conditions relevant to this fruit.
Unlike previous studies mainly focused on grains or fresh produce, this research provides novel insights into the efficacy of cold plasma for reducing AFB1 on dried mulberries while simultaneously assessing its effects on phenolic content, pH, and color. This dual focus helps clarify the trade-offs between toxin degradation and preservation of nutritional and sensory qualities in dried fruits.
Response surface methodology
The results of the Central Composite Design (CCD) experiments are presented in Table 1. Additionally, Table 2 summarizes the model fitting and variance analysis for each response variable. Among the tested models, the quadratic model provided the best fit for AFB1 degradation (R² = 0.9924, R²adj = 0.9899), indicating a strong predictive capacity and minimal deviation between predicted and experimental values. This suggests that both individual factors (treatment time and voltage), as well as their interaction and higher-order terms, significantly influenced AFB1 reduction. Similarly, pH followed a Two-Factor Interaction (2FI) model with a high R² (0.8870), showing that the interaction between voltage and treatment time played an important role. In contrast, TPC was adequately explained by a linear model (R² = 0.9414), where both voltage and time exerted independent but additive effects without significant interaction. For color (L), a quadratic model was suggested (R² = 0.7443), but with a lower adjusted R² (0.6591), reflecting the relatively minor changes in lightness and weaker dependence on plasma parameters. Overall, the best-fitted model was the quadratic model for AFB1 degradation, confirming that toxin detoxification was more sensitive to the combined and nonlinear effects of voltage and treatment duration compared to quality attributes.
pH measurement
pH is an important quality property of most food products. Any intense changes in the pH of edible products can cause an unfavorable impact on their shelf life (Shiekh and Benjakul, 2020). In this study, the pH of treated dried mulberries ranged between 4.12 and 5.18 (Table 1). According to the results, the impact of CAP on the pH of samples followed a 2FI model, so that heightening the treatment time and applied voltage led to a decrease in pH of dried mulberries (Figure 1). This phenomenon was clearer in higher applied voltages on the same treatment time.
Table 1: Central composite experimental design with process variables (uncoded) and observed responses
| Run |
A: Treatment time |
B: Applied voltage |
pH |
TPC |
L* |
AFB1 |
|
(min) |
(kV) |
|
(μgGAE/mg) |
|
Degradation (%) |
| 1 |
12 |
9 |
4.94 |
18.63 |
29.23 |
31.5 |
| 2 |
12 |
5 |
5.01 |
18.72 |
29.22 |
23.5 |
| 3 |
6 |
5 |
5.11 |
18.83 |
29.58 |
14.3 |
| 4 |
18 |
13 |
4.12 |
18.2 |
29.13 |
59.5 |
| 5 |
12 |
9 |
4.68 |
18.64 |
29.37 |
35.2 |
| 6 |
6 |
13 |
4.96 |
18.78 |
29.3 |
34.9 |
| 7 |
12 |
9 |
4.89 |
18.6 |
29.45 |
31.9 |
| 8 |
18 |
5 |
4.95 |
18.44 |
29.19 |
29.7 |
| 9 |
6 |
13 |
4.98 |
18.81 |
29.32 |
33.1 |
| 10 |
18 |
13 |
4.46 |
18.37 |
29.19 |
62.6 |
| 11 |
18 |
13 |
4.5 |
18.39 |
29.22 |
60.3 |
| 12 |
6 |
5 |
5.18 |
18.86 |
29.64 |
15.4 |
| 13 |
12 |
9 |
4.91 |
18.65 |
29.42 |
33.2 |
| 14 |
6 |
13 |
4.99 |
18.74 |
29.34 |
35.4 |
| 15 |
12 |
9 |
4.89 |
18.62 |
29.41 |
30.8 |
| 16 |
18 |
5 |
4.97 |
18.47 |
29.55 |
31.5 |
| 17 |
6 |
5 |
5.12 |
18.87 |
29.66 |
12.7 |
AFB1=Aflatoxin B1; GAE=Gallic Acid Equivalent; TPC=Total Phenolic Content
Table 2: Statistical modeling and variance analysis of response variables.
| Variable |
Suggested model |
Model (coded factors) |
R2 |
R2adj |
| pH |
2FI |
|
pH=+4.86-0.19A-0.18B-0.1AB |